光电源生产太阳能
谈到太阳能转换时,工厂是专家通过光合作用,植物可使用从太阳吸收的光能并用二氧化碳和水生成甘蔗和氧气光合作用是一个复杂多步过程,但植物能以高转换效率实现性能,原因是它们的高度适配分子机网络
glucose型甘蔗即光合作用时生成的甘蔗,是一种耗能极强的燃料,植物主要用于两大目的。葡萄糖为植物生长提供化学构件第二,植物还利用葡萄糖作为呼吸的一部分,这是植物和人类常用过程,它涉及将嵌入葡萄糖燃料中的能量转换成可用形式
液化太阳能不仅在能量密度方面有优势,还可以用作化学原料。
试图模仿植物超能力转换并存储阳光能量 启发人工光合作用人工光合努力重构工厂光采、转换和存储能力,将光合成过程分解为两关键步水分关键目标是将水氧化成氢和氧,然后减少二氧化碳以允许太阳能合成Michael D教授新墨西哥州Heagy技术公司及其研究团队是设计素材专家,这些素材单用光能促进二氧化碳转换为太阳能
太阳能
重造实验室电能转换效率人工光合作用是一项棘手任务,并解决另一个太阳能问题之一:如何从太阳能源持续不间断地提供能源?关键在于寻找存储太阳能的方法,而太阳能往往通过光源化工产生太阳能燃料实现。
最有名的太阳能实例 和自然光合作水分阶段生成的 氢使用光源过程组成氢后,它起油库作用,因为氢可稍后点燃或转换以在需要时释放存储能量氢电车目前直接使用作为燃料,但这不是理想的太阳能燃料实用性氢需要高压并因其易燃性难以安全存储
正因如此 Heagy教授有兴趣使用光化过程创建其他种类的太阳能燃料,包括寻找高效生成Forme的方法,负电模最简单boxylic酸Formice生产友化燃料和其他液化燃料不仅从高能密度方面有利,而且还可用作化工原料。部分全球依赖化石燃料不仅是将化石燃料用作能源,而且还用作制造塑料和其他化学物的化工原料使用甲醇和二甲基醚替代化石燃料(包括能源和化学合成)的想法得到了化学诺贝尔奖获得者George Olah的支持,他大力提倡鼓励开发这一“甲醇经济”。
制作素材
希吉教授研究的重点是设计光电催化器和新纳米材料,并配有专门设计的结构,以将碳酸盐减为太阳能生物碳酸盐与溶解CO2并居中pH工厂拥有适合光合成周期所有阶段的手机和化学架构,而在实验室中,驱动过程同样需要使用光化催化器光电催化法通过捕捉表面化学反作用照亮后,光电驱动器帮助改变电子自反应分子与自反应分子之间的电荷分布这一过程导致化学反应率大幅加速,如减少二氧化碳
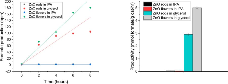
希吉教授一直在调查 太阳能生产即氧化铁团队研究氧化铁纳米结构时发现 光化催化活动减少双碳酸使用铁原子和氧原子安排为双碳酸盐提供最大表面积交互作用,可大大提高生素生产前室素的生产率氧化铁对材料的选用也很有吸引力,因为它无毒低价使用
新经济
铁氧化物并非唯一看起来有前途的候选物希吉教授小组也一直在调查锌硫化物结构与铜氧化物,以了解它们是否更能促进前室生产,机制反应如何不同,或受粒子形状影响,而不仅仅是受表面积变化影响关于氧化锌的工作显示,奇特纳米结构,如纳米带、纳米带和纳米花类似乎比光有无序非结构纳米粒子更好催化器
希吉教授组正开发新方法控制纳米粒子微型架构, 他们的很多研究都真正想理解 地球富集光学分析家为这些减法反应工作的原因和方式调查溶解二氧化碳分子与表面绑定的方式和地点将有助于驱动纳米粒子结构更智能和定向设计并同时研究改变溶剂环境这对于光化催化反应很重要,因为目标之一是不仅产生实用廉价反应,仅由光驱动,而且确保所有试剂无毒并尽可能环境友好性
调查二氧化碳分子与表面绑定的方式和地点将有助于驱动光电催化器智能设计
1979年首次报告使用金属氧化物将二氧化碳减为有机化合物,但最近它已成为热研究领域希吉教授等提高基本理解 部分光导师如何工作设计 高效高效材料可用于这些过程 离实现甲醇经济更近一步
个人响应
执行甲醇经济尚存哪些障碍
二氧化碳捕获仍然是科学和工程方面的一大挑战时CO2高富集源如化石燃料电厂并常伴有甲烷钻油作业、汽车排气和其他稀释源难捕鉴于甲醇的水益性质,如果不使用抑制剂,它可能腐蚀某些金属,如铝和锌。现有石油产品管道处理不了甲醇直至新建管道基础设施或现有管道改换甲醇运输时,甲醇需要卡车和火车高耗能运输

