参数框架多线性回归
普通最小方回归建立数据分析基本概念,它要求独立变量无误化和错误术语不变化Stanley Luck博士,统计顾问兼美国向量分析LC创始成员,开发出多线性回归创新参数框架提供比较泛泛框架建立测量误差回归,即使两个变量的数据都出错
Stanley Luck博士,统计咨询师和向量分析LLC创始成员,特拉华州,研究数据分析应用代数基础这个项目涉及应用全基因组关联研究(GWAS)和表达性特征局部法识别遗传变异在高维搜索数据后,Luck观察到分类和回归树分析结果与GWAS不完全匹配。
幸运发现广泛的研究文献,他应用代数调查各种效果大小计量法及其相关统计方法的优劣研究数据分析基础的第三阶段中,他调查了多线对受随机误差数据安装问题(即随机效果,尽管模型和参数都正确,但可能导致不预期结果)。并开发出新式参数框架 实现多线性回归
普通最小方块回归
普通最小方回归法常用统计技术建模二维线性关系生成直线最小化二乘数之和(最小二乘数)观察值和预测值之差
链规则应用线性关系引导勒克发现新式线性回归参数框架
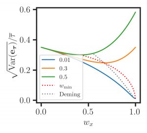
Luck解释,虽然普通最小回归作用确定数据分析基本概念,它要求独立变量无误化和剩余值或差错值不变化或同质化普通最小值假设误差违反时,可使用加权最小值法常态最小方块回归扩展 非负权值应用到数据点无误条件要求摩尔-彭罗斯逆算法用于估计加权最小回归模型参数此外,如果独立变量出错,普通最小方回归估计值下降,导致皮尔逊相关系数下降,以测量两个变量线性关系强度Luck长期研究开发通用框架以建立误差回归机制,使两个变量的数据都有可能出错-误差回归模型
测量错误
测量误差指多文献和长历史支持的子约束统计幸运关系对统计框架和测量误差方法的广泛观点表示标准教科书处理线性回归可能不完全此外,测量误差模型基本作用混淆和加权最小广场优化分治误差效果助长了数据分析不可复制性问题。
链式规则与线性回归
Luck讨论他的新思想 即线性依赖统计度量 包括共生性、关联性 和回归斜坡 都受链式规则约束链规则用于区分函数或复合函数f(g)x标准线性回归框架双变量化,因为它以笛卡尔表示y=fx为基础,因为依存变量y由独立变量x解释应用链规则线性关系引导他发现一个新的线性回归参数框架
参数对笛卡尔表示
曲线可用笛卡尔方程定义,方程使用xy或可使用参数方程,即x函数和y函数为第三个变量函数(通常t函数)。幸运证明使用参数表示法而不是笛卡尔方程如何使他能够获得一个比较泛泛的线性回归框架,该框架也将实验错误在所有变量中都考虑在内。使用链式规则,他将普通线性回归法转换为参数表示法(xxtyt),t对应凸集元素
多线性测量错误回归
以他创新线性回归框架Luck扩展二分点数据建模法并应用到多向量数据中并创建新框架 搭建多维线程 一组线性相关可变向量 应用多维线性回归
在此测量误差模型中,变量向量关系由加权平均表示,权值从输入数据误差模型中测定加权平均对应最小差错系数,最小差差对平均值比,最优信号对噪比后一词中的信号是响应值差,噪声是系统内部自然变异加权平均作用为参数多线性回归独立变量Luck补充道,不失泛性,t可视之为固定变量,因为斜向坐标属性同义化,与代数法一样,所有点都得到同等处理。
线性依赖统计计量法,包括复用性、相关性和回归坡均受链式规则约束
等差表示法中,同差组成参数同差向量并发性测量变量向量之间的线性依存性并受链规则约束勒克得以实现皮尔逊关系参数归纳化,形式为参数相关拉值,标量和向量归纳测量多路参数相关
多维参数框架实用应用
高数据世界线性回归参数框架的许多可能应用中包括RNA排序RNA-Seq用于查找组成细胞内所有RNA分子的构件精度序列分析转录机 收集细胞中的基因读取 深入了解哪些基因编码开关RNA-Seq基因表达式最简单量化方式是计数读数与每个基因一致进程被称为读数计算,读定义为单片串排序,因此计数为读数重置特定基因组位置
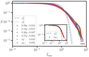
Luck演示多维参数框架算法应用公开数据RNA-Seq错误分布分析并显示它如何估计RNA-Seq数据复制误差参数和RNA-Seq二次误差
广义影响
幸运感表示,线性依赖统计计量法,如回归坡度、千差数和相关系数受链式规则约束对多变统计和数据科学有广泛影响。并帮助消除误判测量错误很重要, 因为多科应用线性回归法
个人响应
下一阶段研究 数据分析基础
下一阶段研究涉及开发数据分析方法 复杂系统,如疗养院、生物体和经济系统计算自由度、偏差样本大小和测量误差对获取可复制数据分析结果对系统是必要的然而,由于这些系统性能取决于多构件之间的复杂交互作用,还产生额外的数学复杂性。并有其他优化性能之道并不存在独特定义清晰的解决办法取而代之的是探索解决方案空间,使用数据分析方法如CART获取功能信息帮助开发工程模型预测提高性能不同变异形式之间成本效益权衡规范需要,而实质意义标准因具体应用而异数据分析复杂系统没有单效果大小法

